Performance test

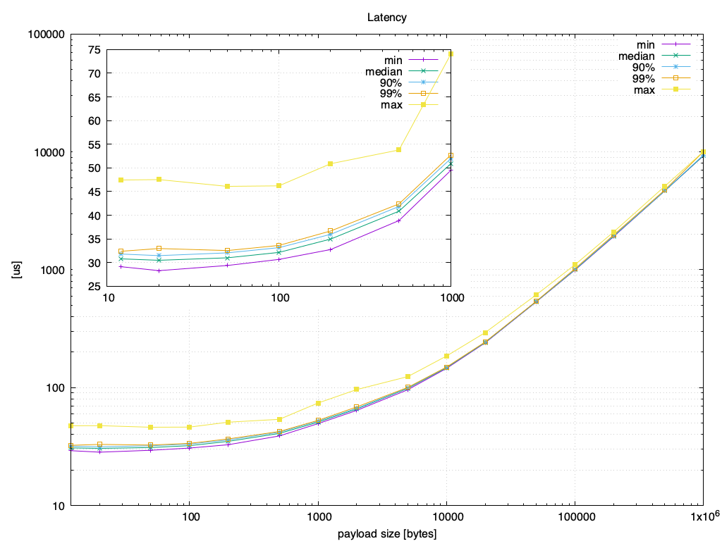
Reliable message throughput is over 1MS/s for very small samples and is roughly 90% of GbE with 100 byte samples. Latency is about 30us when measured using The ddsperf tool between two Intel(R) Xeon(R) CPU E3-1270 V2 @ 3.50GHz (2012 hardware) running Ubuntu 16.04, with the executables built on Ubuntu 18.04 using gcc 7.4.0 for a default (that is, “RelWithDebInfo”) build.

The following show the performance of a reliable message:

Throughput async listener rate Latency sync listener

This is with the subscriber in listener mode, using asynchronous delivery for the throughput test.

Note

The configuration is a marginally tweaked out-of-the-box configuration: an increased maximum message size and fragment size, and an increased high-water mark for the reliability window on the writer side.

Test setup

The details of the test setup can be found via the following links:

Test results

Latency data underlying the graphs (including CPU usage):

Throughput async listener cpu Latency sync listener bwcpu Throughput async listener memory